danny@chemdad.com sales@chemdad.com
English
|
Chinese
Home
About
Product
Solution
News
Download
Recruitment
Contact
Product
Chemical Synthesis
Building Blocks
Catalysts
Synthetic reagent
API&Food supplements
API
Food supplements
Silicone Products
Silicone products
Phosphorus compounds
Phosphorus compounds
Biochemical Reagent PEG Linker
Biochemical Reagent
PEG Linker
Electronic Chemicals
Porphyrin
Ionic liquid
Others
Other Custom Synthesis
Triisopropanolamine
Daily chemicals
Daily chemicals
Others
One
Two
Three
Four
Five
Six
Seven
Eight
Nine
Ten
Analytical Chemistry
Analytical Chemistry
Home
>
Product
>
Electronic Chemicals
>
Ionic liquid
Product ID
Chemical Name
CAS No.
Formula
Product Description
EL-00072
1-Hexyl-3-Methylimidazolium triFluoroMethaneSulfonate
460345-16-8
EL-00071
1-Hexyl-3-MethylImidazolium diHydrogenPhosphate
922521-04-8
EL-00070
1-Hexyl-3-Methylimidazolium HydrogenSulfate
478935-29-4
EL-00069
1-Hexyl-3-MethylImidazolium hexaFluoroPhosphate
304680-35-1
EL-00068
1-Hexyl-3-MethylImidazolium tetraFluoroBorate
244193-50-8
EL-00067
1-Hexyl-3-MethylImidazolium Iodide
178631-05-5
EL-00066
1-Hexyl-3-MethylImidazolium Bromide
85100-78-3
EL-00065
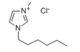
1-Hexyl-3-MethylImidazolium Chloride
171058-17-6
EL-00064
1-Pentyl-3-MethylImidazolium Bromide
343851-31-0
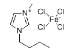
EL-00063
1-Butyl-3-MethylImidazolium tetraChloroFerrate
359845-21-9
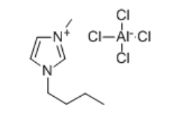
EL-00062
1-Butyl-3-MethylImidazolium tetraChloroAluminate
80432-09-3
EL-00061
1-Butyl-3-Methylimidazolium (L)-Lactate
878132-20-8
EL-00060
1-Butyl-3-MethylImidazolium Acetate
284049-75-8
EL-00059
1-Butyl-3-Methylimidazolium diCyanAmide
448245-52-1
EL-00058
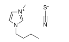
1-Bttyl-3-Methylimidazolium Thiocyanate
344790-87-0
EL-00057
1-Butyl-3-Methylimidazolium Nitrate
179075-88-8
EL-00056
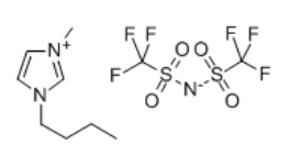
1-Butyl-3-MethylImidazolium bis(triFluoroMethylSulfonyl)Imide
174899-83-3
EL-00055
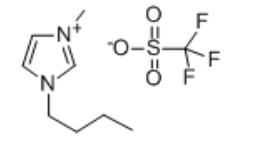
1-Butyl-3-Methylimidazolium Trifluoromethansulfonate
174899-66-2
EL-00054
1-Butyl-3-MethylImidazolium Tosylate
410522-18-8
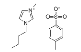
EL-00053
1-Butyl-3-MethylImidazolium MethaneSulfonate
342789-81-5
<
1
2
3
4
>
Google translate:
日本语
한국어
Français
Deutsch
España
Türkiye