danny@chemdad.com sales@chemdad.com
English
|
Chinese
Home
About
Product
Solution
News
Download
Recruitment
Contact
Product
Chemical Synthesis
Building Blocks
Catalysts
Synthetic reagent
API&Food supplements
API
Food supplements
Silicone Products
Silicone products
Phosphorus compounds
Phosphorus compounds
Biochemical Reagent PEG Linker
Biochemical Reagent
PEG Linker
Electronic Chemicals
Porphyrin
Ionic liquid
Others
Other Custom Synthesis
Triisopropanolamine
Daily chemicals
Daily chemicals
Others
One
Two
Three
Four
Five
Six
Seven
Eight
Nine
Ten
Analytical Chemistry
Analytical Chemistry
Home
>
Product
>
API&Food supplements
>
API
Product ID
Chemical Name
CAS No.
Formula
Product Description
API-00004
Chromium(III) picolinate
14639-25-9
99%,5kg bag 25kg bag
API-00003
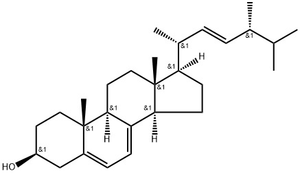
Ergosterol
57-87-4
98%
API-00002
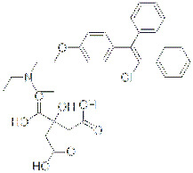
Clomiphene Citrate
50-41-9
99%,10kg bag 25kg bag
API-00001
5-Chloro-2-methyl-4-nitroaniline
13852-51-2
98%,25kg bag
Google translate:
日本语
한국어
Français
Deutsch
España
Türkiye